My classwork for BIMM143
Joseph Lo (PID: A18121493)
Pertussis (whooping cough) is a common lung infection caused by the bacteria B. Pertussis. It can infect anyone but is most deadly for infants (under 1 year of age)
The CDC tracks the number of Pertussis cases:
Q. I want a plot of year vs cases
Q1. With the help of the R “addin” package datapasta assign the CDC pertussis case number data to a data frame called cdc and use ggplot to make a plot of cases numbers over time.
library(ggplot2)
ggplot(cdc) +
aes(year, cases) +
geom_point() +
geom_line()

Q. Add annotation lines for the major milestones of wP vaccination roll-out (1946) and the switch to the aP vaccine (1996).
Q2. Using the ggplot geom_vline() function add lines to your previous plot for the 1946 introduction of the wP vaccine and the 1996 switch to aP vaccine (see example in the hint below). What do you notice?
After the introduction of the wP vaccine the rate of the infection decreased; however, after switching to the aP vaccine maybe it wasn’t as strong but it is still pretty effective.
ggplot(cdc) +
aes(year, cases) +
geom_point() +
geom_line() +
geom_vline(xintercept = 1946, col="blue", lty=2) +
geom_vline(xintercept = 1996, col="red", lty=2) +
geom_vline(xintercept = 2020, col="gray", lty=2)

Q3. Describe what happened after the introduction of the aP vaccine? Do you have a possible explanation for the observed trend?
After the introduction of the aP vaccine there is a slight increase in the infection cases. Maybe the bacteria is evolving or that data gathering is evolving, making it easier to identify who is infected and including it into data sets with better accuracy. Also, access to vaccine may be tougher, causing less to get vaccinated.
Q. Additional points for discussion: How are vaccines currently approved?
Vaccines are currently approved through companies like FDA so it will be harder to get modern vaccines improved. There is a more evolved process in approving vaccines and making sure there are no failures.
The CMI-PB project https://www.cmi-pb.org/ The mission of CMI-PB is to provide the scientific community with a comprehensive, high-quality and freely accessible resource of Pertussis booster vaccination.
Basically, make available a large dataset on the immune response to Pertussis. They use a “booster” vaccination as a proxy for Pertussis infection.
They make their data available as JSON format API. We can read this into
R with the read_json() function from the jsonlite package:
library(jsonlite)
subject <- read_json("https://www.cmi-pb.org/api/v5_1/subject", simplifyVector=TRUE)
head(subject)
subject_id infancy_vac biological_sex ethnicity race
1 1 wP Female Not Hispanic or Latino White
2 2 wP Female Not Hispanic or Latino White
3 3 wP Female Unknown White
4 4 wP Male Not Hispanic or Latino Asian
5 5 wP Male Not Hispanic or Latino Asian
6 6 wP Female Not Hispanic or Latino White
year_of_birth date_of_boost dataset
1 1986-01-01 2016-09-12 2020_dataset
2 1968-01-01 2019-01-28 2020_dataset
3 1983-01-01 2016-10-10 2020_dataset
4 1988-01-01 2016-08-29 2020_dataset
5 1991-01-01 2016-08-29 2020_dataset
6 1988-01-01 2016-10-10 2020_dataset
Q. How many aP and wP individuals are there in this
subjecttable?
table(subject$infancy_vac)
aP wP
87 85
Q4. How many aP and wP infancy vaccinated subjects are in the dataset?
87 aP and 85 wP
How many male/female >Q5. How many Male and Female subjects/patients are in the dataset?
table(subject$biological_sex)
Female Male
112 60
112 Female 60 Male
Q6. What is the breakdown of
raceandbiological sex(e.g. number of Asian females, White males etc…)? Is this representative of the US population?
table(subject$race, subject$biological_sex)
Female Male
American Indian/Alaska Native 0 1
Asian 32 12
Black or African American 2 3
More Than One Race 15 4
Native Hawaiian or Other Pacific Islander 1 1
Unknown or Not Reported 14 7
White 48 32
The breakdown is as shown above.
It is not representative of the US population because it is too little datasets.
We can read more tables from the CMI-PB database
specimen <- read_json("https://www.cmi-pb.org/api/v5_1/specimen", simplifyVector = TRUE)
ab_titer <- read_json("https://www.cmi-pb.org/api/v5_1/plasma_ab_titer", simplifyVector = TRUE)
head(specimen)
specimen_id subject_id actual_day_relative_to_boost
1 1 1 -3
2 2 1 1
3 3 1 3
4 4 1 7
5 5 1 11
6 6 1 32
planned_day_relative_to_boost specimen_type visit
1 0 Blood 1
2 1 Blood 2
3 3 Blood 3
4 7 Blood 4
5 14 Blood 5
6 30 Blood 6
head(ab_titer)
specimen_id isotype is_antigen_specific antigen MFI MFI_normalised
1 1 IgE FALSE Total 1110.21154 2.493425
2 1 IgE FALSE Total 2708.91616 2.493425
3 1 IgG TRUE PT 68.56614 3.736992
4 1 IgG TRUE PRN 332.12718 2.602350
5 1 IgG TRUE FHA 1887.12263 34.050956
6 1 IgE TRUE ACT 0.10000 1.000000
unit lower_limit_of_detection
1 UG/ML 2.096133
2 IU/ML 29.170000
3 IU/ML 0.530000
4 IU/ML 6.205949
5 IU/ML 4.679535
6 IU/ML 2.816431
To make sense of all this data we need to “join” (a.k.a. “merge” or
“link”) all these tables together. Only then will you know that a given
Ab measurement (from the ab_titer table) was collected on a certain
data (from the specimen table) from a certain wP or aP subject (from
the subject table).
We can use dplyr and the *_join() family of functions to do this.
Q9. Complete the code to join specimen and subject tables to make a new merged data frame containing all specimen records along with their associated subject details:
library(dplyr)
Attaching package: 'dplyr'
The following objects are masked from 'package:stats':
filter, lag
The following objects are masked from 'package:base':
intersect, setdiff, setequal, union
meta <- inner_join(subject, specimen)
Joining with `by = join_by(subject_id)`
head(meta)
subject_id infancy_vac biological_sex ethnicity race
1 1 wP Female Not Hispanic or Latino White
2 1 wP Female Not Hispanic or Latino White
3 1 wP Female Not Hispanic or Latino White
4 1 wP Female Not Hispanic or Latino White
5 1 wP Female Not Hispanic or Latino White
6 1 wP Female Not Hispanic or Latino White
year_of_birth date_of_boost dataset specimen_id
1 1986-01-01 2016-09-12 2020_dataset 1
2 1986-01-01 2016-09-12 2020_dataset 2
3 1986-01-01 2016-09-12 2020_dataset 3
4 1986-01-01 2016-09-12 2020_dataset 4
5 1986-01-01 2016-09-12 2020_dataset 5
6 1986-01-01 2016-09-12 2020_dataset 6
actual_day_relative_to_boost planned_day_relative_to_boost specimen_type
1 -3 0 Blood
2 1 1 Blood
3 3 3 Blood
4 7 7 Blood
5 11 14 Blood
6 32 30 Blood
visit
1 1
2 2
3 3
4 4
5 5
6 6
Let’s do one more innter_join() to join the ab_titer with all our
meta data.
Q10. Now using the same procedure join meta with titer data so we can further analyze this data in terms of time of visit aP/wP, male/female etc.
abdata <- inner_join(ab_titer, meta)
Joining with `by = join_by(specimen_id)`
head(abdata)
specimen_id isotype is_antigen_specific antigen MFI MFI_normalised
1 1 IgE FALSE Total 1110.21154 2.493425
2 1 IgE FALSE Total 2708.91616 2.493425
3 1 IgG TRUE PT 68.56614 3.736992
4 1 IgG TRUE PRN 332.12718 2.602350
5 1 IgG TRUE FHA 1887.12263 34.050956
6 1 IgE TRUE ACT 0.10000 1.000000
unit lower_limit_of_detection subject_id infancy_vac biological_sex
1 UG/ML 2.096133 1 wP Female
2 IU/ML 29.170000 1 wP Female
3 IU/ML 0.530000 1 wP Female
4 IU/ML 6.205949 1 wP Female
5 IU/ML 4.679535 1 wP Female
6 IU/ML 2.816431 1 wP Female
ethnicity race year_of_birth date_of_boost dataset
1 Not Hispanic or Latino White 1986-01-01 2016-09-12 2020_dataset
2 Not Hispanic or Latino White 1986-01-01 2016-09-12 2020_dataset
3 Not Hispanic or Latino White 1986-01-01 2016-09-12 2020_dataset
4 Not Hispanic or Latino White 1986-01-01 2016-09-12 2020_dataset
5 Not Hispanic or Latino White 1986-01-01 2016-09-12 2020_dataset
6 Not Hispanic or Latino White 1986-01-01 2016-09-12 2020_dataset
actual_day_relative_to_boost planned_day_relative_to_boost specimen_type
1 -3 0 Blood
2 -3 0 Blood
3 -3 0 Blood
4 -3 0 Blood
5 -3 0 Blood
6 -3 0 Blood
visit
1 1
2 1
3 1
4 1
5 1
6 1
Q11. How many specimens (i.e. entries in abdata) do we have for each isotype?
table(abdata$isotype)
IgE IgG IgG1 IgG2 IgG3 IgG4
6698 7265 11993 12000 12000 12000
The species amounts are shown above.
Q. How many different “antigen” values are measured?
table(abdata$antigen)
ACT BETV1 DT FELD1 FHA FIM2/3 LOLP1 LOS Measles OVA
1970 1970 6318 1970 6712 6318 1970 1970 1970 6318
PD1 PRN PT PTM Total TT
1970 6712 6712 1970 788 6318
Q12. What are the different $dataset values in abdata and what do you notice about the number of rows for the most “recent” dataset?
table(abdata$dataset)
2020_dataset 2021_dataset 2022_dataset 2023_dataset
31520 8085 7301 15050
The most recent data set seems to have a jump in its number compared to previous years.
igg <- abdata %>% filter(isotype == "IgG")
head(igg)
specimen_id isotype is_antigen_specific antigen MFI MFI_normalised
1 1 IgG TRUE PT 68.56614 3.736992
2 1 IgG TRUE PRN 332.12718 2.602350
3 1 IgG TRUE FHA 1887.12263 34.050956
4 19 IgG TRUE PT 20.11607 1.096366
5 19 IgG TRUE PRN 976.67419 7.652635
6 19 IgG TRUE FHA 60.76626 1.096457
unit lower_limit_of_detection subject_id infancy_vac biological_sex
1 IU/ML 0.530000 1 wP Female
2 IU/ML 6.205949 1 wP Female
3 IU/ML 4.679535 1 wP Female
4 IU/ML 0.530000 3 wP Female
5 IU/ML 6.205949 3 wP Female
6 IU/ML 4.679535 3 wP Female
ethnicity race year_of_birth date_of_boost dataset
1 Not Hispanic or Latino White 1986-01-01 2016-09-12 2020_dataset
2 Not Hispanic or Latino White 1986-01-01 2016-09-12 2020_dataset
3 Not Hispanic or Latino White 1986-01-01 2016-09-12 2020_dataset
4 Unknown White 1983-01-01 2016-10-10 2020_dataset
5 Unknown White 1983-01-01 2016-10-10 2020_dataset
6 Unknown White 1983-01-01 2016-10-10 2020_dataset
actual_day_relative_to_boost planned_day_relative_to_boost specimen_type
1 -3 0 Blood
2 -3 0 Blood
3 -3 0 Blood
4 -3 0 Blood
5 -3 0 Blood
6 -3 0 Blood
visit
1 1
2 1
3 1
4 1
5 1
6 1
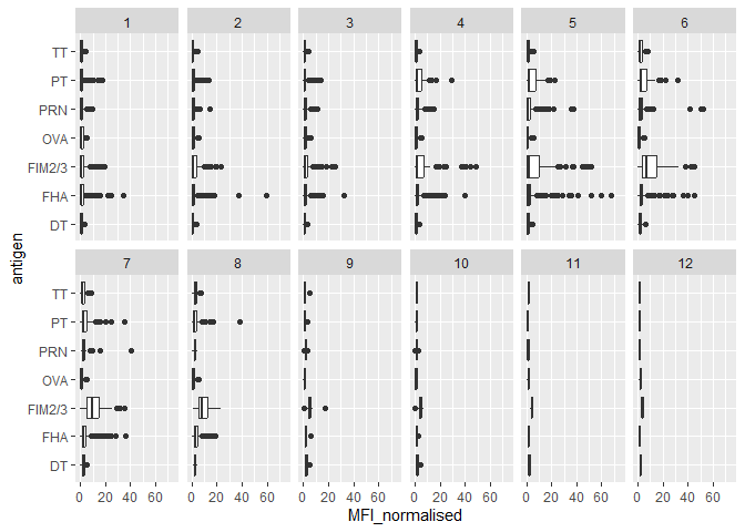
Q13. Complete the following code to make a summary boxplot of Ab titer levels (MFI) for all antigens:
library(ggplot2)
ggplot(igg) +
aes(MFI_normalised, antigen) +
geom_boxplot() +
xlim(0,75) +
facet_wrap(vars(visit), nrow=2)
Warning: Removed 5 rows containing non-finite outside the scale range
(`stat_boxplot()`).

Let’s focus on IgG isotype
igg <- abdata |>
filter(isotype=="IgG")
head(igg)
specimen_id isotype is_antigen_specific antigen MFI MFI_normalised
1 1 IgG TRUE PT 68.56614 3.736992
2 1 IgG TRUE PRN 332.12718 2.602350
3 1 IgG TRUE FHA 1887.12263 34.050956
4 19 IgG TRUE PT 20.11607 1.096366
5 19 IgG TRUE PRN 976.67419 7.652635
6 19 IgG TRUE FHA 60.76626 1.096457
unit lower_limit_of_detection subject_id infancy_vac biological_sex
1 IU/ML 0.530000 1 wP Female
2 IU/ML 6.205949 1 wP Female
3 IU/ML 4.679535 1 wP Female
4 IU/ML 0.530000 3 wP Female
5 IU/ML 6.205949 3 wP Female
6 IU/ML 4.679535 3 wP Female
ethnicity race year_of_birth date_of_boost dataset
1 Not Hispanic or Latino White 1986-01-01 2016-09-12 2020_dataset
2 Not Hispanic or Latino White 1986-01-01 2016-09-12 2020_dataset
3 Not Hispanic or Latino White 1986-01-01 2016-09-12 2020_dataset
4 Unknown White 1983-01-01 2016-10-10 2020_dataset
5 Unknown White 1983-01-01 2016-10-10 2020_dataset
6 Unknown White 1983-01-01 2016-10-10 2020_dataset
actual_day_relative_to_boost planned_day_relative_to_boost specimen_type
1 -3 0 Blood
2 -3 0 Blood
3 -3 0 Blood
4 -3 0 Blood
5 -3 0 Blood
6 -3 0 Blood
visit
1 1
2 1
3 1
4 1
5 1
6 1
Make a plot of MFI_normalised values for all antigen values.
ggplot(igg) +
aes(MFI_normalised, antigen) +
geom_boxplot()

Q14. What antigens show differences in the level of IgG antibody titers recognizing them over time? Why these and not others?
The antigens “PT”, “FTM2/3” and “FHA” appear to have the widest range of values. It is because the aP vaccines utilize these antibodies compared to wP which do not. This introduces more of these antibodies, thus the reason why we see more of them over time and different levels.
Q. Is there a difference for these responses between aP and wP individuals?
ggplot(igg) +
aes(MFI_normalised, antigen, col=infancy_vac) +
geom_boxplot()

ggplot(igg) +
aes(MFI_normalised, antigen) +
geom_boxplot() +
facet_wrap(~infancy_vac)

Q.Is there a difference with time (i.e. before booster shot vs after booster shot)
ggplot(igg) +
aes(MFI_normalised, antigen, col=infancy_vac) +
geom_boxplot() +
facet_wrap(~visit)

Lets finish this section by looking at the 2021 dataset IgG PT antigen levels time-course:
## filter to 2021 dataset, IgG and PT only
ab.PT.21 <- abdata |> filter(dataset == "2021_dataset",isotype == "IgG", antigen == "PT")
ggplot(ab.PT.21) +
aes(x=planned_day_relative_to_boost,
y=MFI_normalised,
col=infancy_vac,
group=subject_id) +
geom_point(alpha=0.4, size=1.5) +
geom_line(alpha=0.25, linewidth=0.6) +
stat_summary(fun=mean, geom="smooth", se=FALSE, linewidth=1.6, span=0.5, aes(group=infancy_vac, col=infancy_vac)) +
geom_vline(xintercept=0, linetype="dashed") +
geom_vline(xintercept=14, linetype="dashed") +
labs(title="CMI-PB 2021 dataset IgG PT",
subtitle = "Dashed lines indicate day 0 (pre-boost) and day 14 (post boost)") +
theme_minimal(base_size=14)
Warning in stat_summary(fun = mean, geom = "smooth", se = FALSE, linewidth =
1.6, : Ignoring unknown parameters: `span`

Q18. Does this trend look similar for the 2020 dataset?
Yes this trend looks similar to the 2020 dataset.
ab.PT.20 <- abdata |> filter(dataset == "2020_dataset",isotype == "IgG", antigen == "PT")
ggplot(ab.PT.21) +
aes(x=planned_day_relative_to_boost,
y=MFI_normalised,
col=infancy_vac,
group=subject_id) +
geom_point() +
geom_line() +
geom_vline(xintercept=0, linetype="dashed") +
geom_vline(xintercept=14, linetype="dashed") +
labs(title="2020 dataset IgG PT",
subtitle = "Dashed lines indicate day 0 (pre-boost) and 14 (apparent peak levels)")
